Search
Topics
Electronics
Informatics
Astronomy
Physical constants
Electromagnetism
Electricity
Magnetism
Trigonometry
Laplace transforms
RMS values
Integrals
Derivatives
C
Python3
PHP
HTML
CSS
About
Donations
Contacts
Subscribe
Resources
Cheatsheets
Info
An online electronics reference conceived for professionals, enthusiasts and students.
LATEST ARTICLES
Latest updates and submissions
Boost converter - Output impedance
Open loop output impedance of a boost converter
Sep 06, 2025 | Vanadium
Boost converter - Input impedance
Open loop input impedance of a boost converter
Sep 05, 2025 | Vanadium
Buck converter - Closing the loop
Compensation strategies for a voltage-controlled (VCM) buck converter operating in CCM
Sep 04, 2025 | Vanadium
Boost converter - Voltage mode AC model
AC small signal model for a generic boost regulator controlled in voltage mode (VMC)
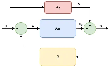
General Feedback Theorem
About Middlebrook's General Feedback Theorem: introduction, derivation and importance in real world feedback systems...
LTSpice ideal models
A list of LTSpice ideal models I find very useful during hardware development and simulation. Sometimes, moving to ideal models is a helpful approach to focus on circuit functionality. This allows for...
Sep 03, 2025 | Vanadium
Boost converter - Switching and DC models
Switching and DC models of the boost converter operating in CCM
Sep 02, 2025 | Vanadium
Buck converter - Input impedance
Open loop input impedance of a buck converter
Aug 30, 2025 | Vanadium
Buck converter - Output impedance
Open loop output impedance of a buck converter
Introduction to EMC: an overview
What is EMC, why is it so important in electronic design and why you should consider it since the earliest stages of your project...
Aug 24, 2025 | Vanadium
Control Theory - LTI and Feedback
What is a LTI system? How does a feedback system work? All you need to know for your first voyage in the control theory world!...
Jul 13, 2025 | Vanadium
Control theory - Dynamic system equations
Let's do some math and find the most relevant equations for a dynamic system
SUBSCRIBE
to DIY From Scratch's Newsletter
Stay updated on the most recent technical articles and design tips!
★ Most viewed ★
UTILITIES
Jan 14, 2024 | Vanadium
LTSpice from command line
How to run LTSpice in batch mode and automate simulations and post-processing
INFORMATION
Aug 02, 2022 | Vanadium
About DIY From Scratch
About this website: purpose, name, origins and disclaimer
EMC
Jan 31, 2023 | Vanadium
Introduction to EMC: LISNs
What is a LISN and why it is mandatory even in the most basic EMC laboratory
PHYSICS
Jan 12, 2023 | Vanadium
List of physical constants, expressed in SI units
MATHS
Jan 02, 2023 | Vanadium
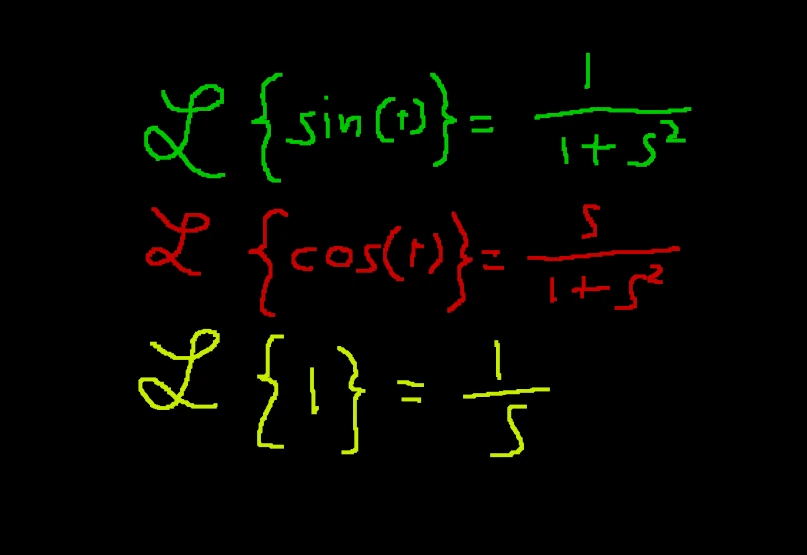
Laplace transform tables
A ready-to-use table of Laplace transforms, with properties and notable cases
Apr 13, 2024 | Vanadium
Electromagnetism basic laws and useful formulas
RF
Aug 28, 2021 | Vanadium
Transmission lines - Part IV: Time domain
Usually, transmission lines are analysed in the frequency domain but, in some cases, it could be useful to do some calculation in the time domain. Let's see how this type of analysis is done....
Jun 15, 2024 | Vanadium
A ready-to-use page about integrals rules, properties and notable cases
Jun 16, 2024 | Vanadium
Trigonometry and prosthaphaeresis rules
A ready-to-use set of trigonometry and prosthaphaeresis rules
POWER ELECTRONICS
Aug 19, 2021 | Vanadium
Bridges - Part III: Full-Bridge
Detailed analysis of the full-bridge topology, with schemes and calculations